您的當前位置:首頁 > 產品知識 > 更多產品知識 > 脫離點與落回點的軌跡最大脫離角與最小球層半徑
作者:紅星機器 發布時間:2017-09-20 11:26:49
紅星機器對脫離點與落回點的軌跡介紹及最大脫離角與最小球層半徑的計算方法。
![]()
此處a=
,當n為已給定時,a 為常數。
公式(2-17)是以磨機中心O為極點,坐標軸OY為極軸的圓曲線方程,此圓的半徑為
。由于每一層球皆有一脫離角ai與球層半徑Ri,并且符合上述關系,因此諸Ai皆在以O1為圓心及O1為半徑的圓上。這個圓就是各脫離點Ai的軌跡,見圖2-8。落回點Bi到磨機中心的距離為Ri,與極軸OY之間的極角由公式(2-16)可知為
![]()
點Bi也在圓運動軌跡上,它也遵從公式(2-2),于是照樣有極坐標方程式
![]()
當
時,R=0,此方程式表示的曲線(即巴斯赫利螺線)將通過磨機中心(即極點)O。公式(2-18)代表的曲線就是諸落回點Bi的軌跡。

![]()
來看,以
時R 的水平投影XB為極小值。由引可見,對目前所論述的問題說,這兩個極限值只有意義,它是與最小球層半徑R最小相對應的最大脫離角a最大。于是,判斷球層保持明顯的圓運動和拋物線運動的極限狀態的兩個相關連的指標是


此處的K為內層球半徑與外層球半徑之比,或內層球的與外層球的脫離角的余弦之比。當最外層球的半徑被看作即磨機的半徑時,它就是最內層球的半徑與磨機內半徑之比。顯然,K標志裝球率,因為裝球愈多,R2愈小,K 值也就較小。由公式(2-5)可知

這兩個公式指出:最外層球的脫離角僅與轉速率有關,而最內層球的脫離角,即與轉速率又與裝球率(用K標志)有關。根據上面講的情況可知,為了保證最內層球也能處于拋落狀態(即所有球層都是拋落的),裝球率與轉速率必有一確定關系。而且這種關系又必有臨界點,過了這種臨界點,磨機的轉速不足以使暈內層球作拋落,鋼球于是處于瀉落狀態。這里將用計算結果
繪制的曲線表示如下圖。圖中表明了裝球率、轉速率和球層半徑的關系,也表明了由這種關系所確定的瀉落和拋落的界限。

影響磨礦效率的因素有很多,其中鋼球直接打襯板會造成嚴重磨損,導致磨礦效果差。磨機內的分區不僅如此明顯,而且能定量地計算出它們的范圍,下面講的球荷切面積可作說明。
磨機轉動時,其中有球的空間,一部分分布著作圓運動的球,另一部分分布著作拋物線落下的球。取與磨機長軸垂直的切面來看,全部運動著的球所占的面積為
,而作圓運動部分的球所占的面積為
1,作拋物線運動的球所占的面積為
2,則在動態下的裝球率為
![]()
任取一層球,它的球層半徑為Rc,脫離角為ac,落下角為
,此球層所對的圓心角為
,由圖3-2-10 可以看出,
![]()
在R2與R1范圍內積分上式,得到
在
及
1求出之后,
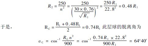
2也就可以算出。例如,某磨礦機的內半徑為R,轉速率為76%,適宜的裝球率為40%,求它的球荷切面積
,
1和
2。根據公式2-26,
=
。如果取位居中間的那層球來計算,
。最內層球能作拋物落下的極限條件,由公式(2-26)可知為

此層球的落回角為
![]()
此層球所對的圓心角

![]()
因此,在總球荷面積中,圓運動部分占62.5%
,拋物線運動部分占37.5%。顯然可知,裝球太少,
就很小,磨機內起磨礦作用的部分不多。裝球盡管適宜,但轉速過低,幾乎沒有
2,成為瀉落狀態,磨剝作用比沖擊作用占優勢。只有裝球率和轉速率都適合,才能保證發生拋落狀態,并有較大的
2,使沖擊作用較為充足。
如果您想了解我們的產品,可以隨時撥打我公司的銷售熱線或點擊咨詢!![]()
推薦閱讀
TOP169鄂破機價格及型號參數鄂破機
TOP257鄂破機一小時能產多少噸物料鄂破機
TOP3時產1000噸石料生產線設備有哪些?多少錢?石料生產線價格
TOP4140圓錐破時產多少石子圓錐破 圓錐破碎機
TOP5小型碎沙機多少錢一臺?碎石機
TOP6一套碎石機大概需要多少錢碎石機
TOP7生產雷蒙磨粉機(雷蒙磨)的廠家磨粉機
TOP869破碎機一小時處理多少立方石子?破碎機 69顎式破碎機
TOP91060顎破型號有哪些?什么價?顎破 顎式破碎機
TOP10每小時產200噸的石子破碎機多少錢一臺?破碎機
TOP11時產500噸石子生產線配置方案_廠家報價生產線
TOP12銷量較好的雷蒙磨粉機型號有哪些雷蒙磨粉機
換一換 ![]()
想讓資深工程師為您設計生產方案?想獲取全套設備優惠報價單?請留言,專業經理即刻開始為您一對一服務!(不用擔心信息泄露,我們將為客戶提供信息保密服務!)
來廠考察即可獲取資深工程師為您設計方案
多機型現貨可選,簽訂合同,2天內發出
售后團隊親臨現場,指導設備安裝、試車,完成交付
跟蹤砂場運營情況,提供生產運營指導,保障砂場快速盈利
河南紅星礦山機器有限公司 總部地址:鄭州市高新區梧桐街與紅松路交叉口中國高端礦機生產出口基地園區
工程師免費設計方案已有162位獲得心儀的方案
算一算 搭配一條合適的生產線需要多少錢?
點擊獲取報價