您的當前位置:首頁 > 產品知識 > 更多產品知識 > 超臨界轉速運轉
作者:紅星機器 發布時間:2010-10-04 00:00:00
前面導出臨界轉數公式時,曾設摩擦力與鋼球重量的切向分力相等,鋼球沒有滑動。在采用不平滑襯板和裝球率占40~50%時,這種假設是符合實際的。倘若采用摩擦系數小的平滑襯板,又減少裝球量使正壓力降低,那么,摩擦力就小到不足以平衡球荷的切向分力,鋼球于是有了滑動。
在這種情況下,盡管磨機的轉速超過用公式(2-3)算得的nc好幾倍,因為鋼球有劇烈的滑下運動,它還是不會離心化。這就是磨機超臨界轉速運轉的實質和必要的條件。R.T. 胡基在六十年代的研究指出,在適當的條件下,磨機的轉速超過nc值的20倍,鋼球還不會離心化,仍然有磨礦效果。
超臨界轉速運轉不僅在理論上突破了公式(2-5)的局限性,而且可以提高磨機的處理能力。生產實踐指出,如果應用恰當,超臨界轉速運轉可以提高磨機的生產力,雖然功率耗相應地增加,但比功率耗(即千瓦·時/噸)常常是降低的,如下表中的例子。磨機的轉速和裝球量是影響磨機生產率的兩個關鍵性的因素。超過nc值運轉固然可以提高磨機生產率,但要求減少裝球量,而減少裝球量又會使生產率降低。所以不能片面地采用大幅度提高轉速及大幅度減少裝球量的辦法,這反而會使生產率下降,如下圖3-2-6反映的情況。當裝球率減少到25%以下,即使將轉速率提高到145%,生產率也達不到裝球率為35~40%,(轉速率為110~120%的。并且轉速太高,磨機振動很厲害,也會造成危險。

要把磨機的轉速提高到超過臨界值,必須考慮原用的電動機的功率是否充足,傳動部件的強度是不是夠。磨機轉速提高后,生產率加大,和磨機構成閉路的分級機的負荷也增加,必須采取措施提高分級機的生產能力和效率,要不然由于分級機的限制,效果未必好。超臨界轉速后,鋼球與襯板之間和鋼球與鋼球之間有強烈的相對運動,磨損很厲害。為了解決這個問題,有用合金鋼制襯板和鋼球的,也有采用礦石自襯自磨的。試驗研究和生產實踐都指出:用普通磨機在超臨界轉速下進行礦石自磨,它的生產率可以達到在nc以內用鋼球磨礦的。襯板為特殊形狀,由礦石自己去填補成一層殼,以便節約鋼材。


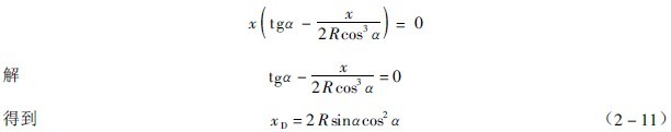
由公式(2-7)可以得到

確定B點的坐標:B點是鋼球拋落的終點,也是它開始圓運動之點,所以它的坐標xb和yb即公式(2-6)和(2-7)聯立時的公解。將公式(2-7)中的y代入公式(2-6)中,然后逐步化簡,得到

中,它的三個根x1=x2=x3=0,即兩軌這相交的坐標原點A 。在

中,第四個根即落回點B的x坐標,即

將xb的值代入公式(2-7),求得

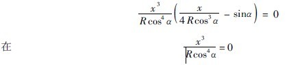
將公式(2-12)和(2-11)比較,可以看出

將公式(2-12)及(2-13)和公式(2-8)及(2-9)比較,可以看出

在已知脫離角a的情況下,可以根據以上各式算出各特殊點的坐標,坐作拋物落下運動時的拋物線即能準確地畫出。如果要用到以O為原點的XOY系來表示落回點B的坐標,根據移軸規則(新坐標等于舊坐標減新原點的舊坐標),將公式(2-12)和(2-13)改寫成

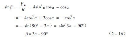
而落回角(
、鋼球中心與磨機中心的連線和X軸的夾角)可以求出為

有的研究者如高伍(Gow)認為,每一個球到達脫離點之前,都受到它后面的球上升時的推力。因此上升得較脫離點高,拋物落下也較戴維斯理論算出的遠。雖高伍根據這種方法提出了另外的計算公式,但尚未獲公認,而戴維斯理論與實際資料仍然大致符合。
如果您想了解我們的產品,可以隨時撥打我公司的銷售熱線或點擊咨詢!![]()
推薦閱讀
TOP169鄂破機價格及型號參數鄂破機
TOP257鄂破機一小時能產多少噸物料鄂破機
TOP3時產1000噸石料生產線設備有哪些?多少錢?石料生產線價格
TOP4140圓錐破時產多少石子圓錐破 圓錐破碎機
TOP5小型碎沙機多少錢一臺?碎石機
TOP6一套碎石機大概需要多少錢碎石機
TOP7生產雷蒙磨粉機(雷蒙磨)的廠家磨粉機
TOP8每小時產200噸的石子破碎機多少錢一臺?破碎機
TOP969破碎機一小時處理多少立方石子?破碎機 69顎式破碎機
TOP101060顎破型號有哪些?什么價?顎破 顎式破碎機
TOP11時產500噸石子生產線配置方案_廠家報價生產線
TOP12銷量較好的雷蒙磨粉機型號有哪些雷蒙磨粉機
換一換 ![]()
想讓資深工程師為您設計生產方案?想獲取全套設備優惠報價單?請留言,專業經理即刻開始為您一對一服務!(不用擔心信息泄露,我們將為客戶提供信息保密服務!)
來廠考察即可獲取資深工程師為您設計方案
多機型現貨可選,簽訂合同,2天內發出
售后團隊親臨現場,指導設備安裝、試車,完成交付
跟蹤砂場運營情況,提供生產運營指導,保障砂場快速盈利
河南紅星礦山機器有限公司 總部地址:中國鄭州高新技術產業開發區檀香路8號
工程師免費設計方案已有162位獲得心儀的方案
算一算 搭配一條合適的生產線需要多少錢?
點擊獲取報價