您的當前位置:首頁 > 產品知識 > 更多產品知識 > 鋼球直徑的半理論公式推導——鋼球的打擊動能En
作者:紅星機器 發布時間:2019-04-08 08:43:09
圖1中表示拋落運動狀態下鋼球的運動軌跡。鋼球從落回點B隨筒體一起作圓運動上升至脫離點A,然后從A點作拋落運動落回到點B,完成一個運動周期。



鋼球落到落回點B時,其速度vp可分解為從磨機中心到落回點B方向的法向分速度vn及與筒體圓周相切的切向速度v1。法向速度vn用于沖擊礦塊,切向速度v1沿筒壁切線方向對礦塊或礦粒產生磨剝作用。這里主要考慮鋼球對礦塊的沖擊作用,故未考慮v1。
根據戴維斯及列文松等人的理論,vn為:


式中 R1———磨機的內半徑。
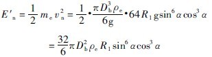
于是,具有有效質量me,及法向速度vn的鋼球落到落回點時具有的法向動能En為:

又因D=2R1,故上式為:

前面考慮的是處于R1位置外層球上的鋼球。但外層球工作有利并不意味整個球荷工作都有利。現假設全部球荷質量集中在某一層球上,這層球稱“中間縮聚層”,此層球的球層直徑為D0。根據扇形對O點的極轉動慣量半徑的求法可得:

式中; R1、R2————外層和內層球的球層半徑。k=R2/R1,k與轉速率
和裝球率
有關,k可直接由表3-5-3中查取。又D0=2R0,則“中間縮聚層”上的一個球落到落回點襯板上的法向沖擊動能En為


如果您想了解我們的產品,可以隨時撥打我公司的銷售熱線或點擊咨詢!![]()
推薦閱讀
TOP169鄂破機價格及型號參數鄂破機
TOP257鄂破機一小時能產多少噸物料鄂破機
TOP3時產1000噸石料生產線設備有哪些?多少錢?石料生產線價格
TOP4140圓錐破時產多少石子圓錐破 圓錐破碎機
TOP5小型碎沙機多少錢一臺?碎石機
TOP6一套碎石機大概需要多少錢碎石機
TOP7生產雷蒙磨粉機(雷蒙磨)的廠家磨粉機
TOP8每小時產200噸的石子破碎機多少錢一臺?破碎機
TOP969破碎機一小時處理多少立方石子?破碎機 69顎式破碎機
TOP101060顎破型號有哪些?什么價?顎破 顎式破碎機
TOP11時產500噸石子生產線配置方案_廠家報價生產線
TOP12銷量較好的雷蒙磨粉機型號有哪些雷蒙磨粉機
換一換 ![]()
想讓資深工程師為您設計生產方案?想獲取全套設備優惠報價單?請留言,專業經理即刻開始為您一對一服務!(不用擔心信息泄露,我們將為客戶提供信息保密服務!)
來廠考察即可獲取資深工程師為您設計方案
多機型現貨可選,簽訂合同,2天內發出
售后團隊親臨現場,指導設備安裝、試車,完成交付
跟蹤砂場運營情況,提供生產運營指導,保障砂場快速盈利
由巖礦塊破碎所需要的破壞力來選擇鋼球尺寸在理論上是可行的,而且是科學的。下面詳細介紹如何根據巖礦抗破壞性能來選擇鋼球尺寸...
201010.11
查看詳情鋼球直徑的半理論公式推導——礦塊或礦粒的抗破壞能量E的推導過程。...
201010.11
查看詳情鋼球直徑的半理論公式推導——鋼球直徑的半理論公式與經驗修正如下文所述。...
201010.11
查看詳情河南紅星礦山機器有限公司 總部地址:中國鄭州高新技術產業開發區檀香路8號
工程師免費設計方案已有162位獲得心儀的方案
算一算 搭配一條合適的生產線需要多少錢?
點擊獲取報價