您的當前位置:首頁 > 產品知識 > 更多產品知識 > 顆粒在介質中的干涉沉降——顆粒沉降的等降比
作者:紅星機器 發布時間:2017-06-25 16:45:50
小密度顆粒的粒度與沉降末速度相等的大密度顆粒粒度之比值,稱為顆粒的等降比,其值大于1。可以根據沉降速度相等的關系求出。
自由沉降時,在一定的雷諾數范圍內,等降比e0為一常數,即
![]()

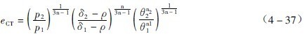
干涉沉降等降比ect,按均勻粒群計,
![]()

若屬多種性質不同的礦粒一起在介質中作干涉沉降,因目前還沒有計算這種情況下干涉沉降速度的公式,干涉沉降等降比不能求出。
本篇內容于 2017-06-25 16:45:50 已補充更新下一篇:風力分級
如果您想了解我們的產品,可以隨時撥打我公司的銷售熱線或點擊咨詢!![]()
推薦閱讀
TOP169鄂破機價格及型號參數鄂破機
TOP257鄂破機一小時能產多少噸物料鄂破機
TOP3時產1000噸石料生產線設備有哪些?多少錢?石料生產線價格
TOP4140圓錐破時產多少石子圓錐破 圓錐破碎機
TOP5小型碎沙機多少錢一臺?碎石機
TOP6一套碎石機大概需要多少錢碎石機
TOP7生產雷蒙磨粉機(雷蒙磨)的廠家磨粉機
TOP869破碎機一小時處理多少立方石子?破碎機 69顎式破碎機
TOP91060顎破型號有哪些?什么價?顎破 顎式破碎機
TOP10每小時產200噸的石子破碎機多少錢一臺?破碎機
TOP11時產500噸石子生產線配置方案_廠家報價生產線
TOP12銷量較好的雷蒙磨粉機型號有哪些雷蒙磨粉機
換一換 ![]()
想讓資深工程師為您設計生產方案?想獲取全套設備優惠報價單?請留言,專業經理即刻開始為您一對一服務!(不用擔心信息泄露,我們將為客戶提供信息保密服務!)
來廠考察即可獲取資深工程師為您設計方案
多機型現貨可選,簽訂合同,2天內發出
售后團隊親臨現場,指導設備安裝、試車,完成交付
跟蹤砂場運營情況,提供生產運營指導,保障砂場快速盈利
離心沉降法所用裝置是串聯旋流分級器,也稱旋流水析器,其基本原理是使分級過程在離心力場中進行。旋流水析器內顆粒的徑向沉降速...
201010.10
查看詳情螺旋分級機根據螺旋數目的不同,可分為單螺旋分級機和雙螺旋分級機。根據分級機溢流堰的高低,又可分為高堰式、低堰式、沉沒式三...
201010.10
查看詳情礦石分級技術——顆粒在運動介質中的自由沉降速度的計算方法。...
201010.09
查看詳情由密度、粒度和形狀相同或相近的顆粒組成的粒群,它們在介質中沉降時,由相互摩擦、碰撞等原因產生的機械阻力,主要取決于粒群在...
201010.09
查看詳情河南紅星礦山機器有限公司 總部地址:鄭州市高新區梧桐街與紅松路交叉口中國高端礦機生產出口基地園區
工程師免費設計方案已有162位獲得心儀的方案
算一算 搭配一條合適的生產線需要多少錢?
點擊獲取報價